| 일 | 월 | 화 | 수 | 목 | 금 | 토 |
|---|---|---|---|---|---|---|
| 1 | 2 | 3 | ||||
| 4 | 5 | 6 | 7 | 8 | 9 | 10 |
| 11 | 12 | 13 | 14 | 15 | 16 | 17 |
| 18 | 19 | 20 | 21 | 22 | 23 | 24 |
| 25 | 26 | 27 | 28 | 29 | 30 | 31 |
- 머신러닝
- 코딩테스트
- 머신러닝 강의
- acmicpc.net
- 자바강좌
- 인공지능
- python강좌
- java
- 머신러닝 강좌
- 자바
- 비지도학습
- c언어 오목
- 경사하강법
- Python강의
- 자바시작하기
- 딥러닝
- 선형회귀
- feature scaling
- supervised learning
- JAVA강좌
- unsupervised learning
- 파이썬강좌
- 파이썬강의
- 지도학습
- 비용함수
- 딥러닝공부
- Gradient Descent
- 백준 알고리즘
- 머신러닝공부
- 효묘블로그
- Today
- Total
컴공과컴맹효묘의블로그
수알못의 머신러닝 공부 : 역행렬과 전치행렬 본문
이번 수업에서는 행렬의 역행렬과 전치행렬을 공부했습니다.
역행렬
역행렬의 개념을 알아가기 앞서서 예전에 배운 역수라는 것을 다시한번 짚어봅시다.
역수란, 0이아닌 어떤 특정한 수에대해 어떠한 수를 곱하면 1이되게하는 것이 역수입니다.
예를들어서 3의 역수는 1/3, 3/5의 역수는 5/3입니다.
1같은 경우는 1의 역수는 똑같이 1이기 때문에 1은 독자성(identity)라고 불립니다. (중요하진 않습니다)
이제 역행렬에대해 알아보겠습니다. 역행렬이 존재하기 위한 몇가지 조건이 있습니다.
첫 번째로 행과 열의 크기가 똑같은 m x m 행렬이여야 합니다.

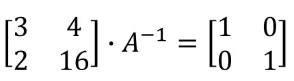
예를들어 A를 위와같이 정의합시다. A의 역행렬은 A^-1과 같이 표현합니다.
그리고 역행렬의 정의는 다음과 같습니다.

위를 만족하는 행렬 A^-1이 역행렬입니다.
만약 3x3행렬이라면,
1 0 0
0 1 0
0 0 1
이 되도록해야합니다.
이때 A^-1은 다음과 같습니다.

여러분은 역행렬을 구하려고 노력할 수도 있고, 공식을 이용할 수도 있습니다. 하지만 굳이 알 필요는 없습니다. 컴퓨터를 이용하면 역행렬을 바로 구할 수 있습니다.
두번째로는 역행렬은 항상 존재하지 않는다는 겁니다. 0은 역수가 없습니다. 똑같이 역행렬이 존재할 수 없는 행렬이 있습니다. 중요하진 않으니 역행렬이 존재할 수 없다는 것만 알아둡시다.
전치행렬
전치행렬은 A^T로 표현합니다.
전치행렬은 행과 열을 서로 바꾼것을 의미합니다.
A를 mxn행렬이라고 두고 B=A^T라하자.
그러면 B는 nxm행렬이 된다.
B_ij = A_ji

쉽게 생각하면 대각선 하나를 그은다음(왼쪽 위에서부터) 그것을 기준으로 뒤집으면 전치행렬이 됩니다.
'컴퓨터 > 머신러닝' 카테고리의 다른 글
| 수알못의 머신러닝 공부 : 학습률(learning rate)을 적절히 설정하는 방법 (0) | 2019.08.15 |
|---|---|
| 수알못의 머신러닝 공부 : 행렬과 벡터로 경사하강법을 (0) | 2019.07.25 |
| 수알못의 머신러닝 공부 : 행렬과 벡터_행렬곱 (0) | 2019.06.27 |
| 수알못의 머신러닝 공부 : 행렬과 벡터_표현 (0) | 2019.06.25 |
| 수알못의 머신러닝 공부 : 경사하강법 Python으로 구현해보기 (0) | 2019.06.18 |